Principaux essais sur les ciments
Normalisés, les principales méthodes d’essais sur les ciments font l’objet de la série de normes NF EN 196 « Méthodes d’essais des ciments », parties 1 à 8. Ces essais sont réalisés à 20°C ± 2°C. La température et l’humidité relative de l’air ambiant ayant une incidence importante sur les réactions d’hydratation, il est indispensable de respecter ces exigences. Toute modification des conditions ambiantes d’essai peut avoir des conséquences importantes sur leurs résultats.
La NF EN 196 « Méthodes d’essais des ciments », parties 1 à 8
Partie 1 : Détermination des résistances mécaniques
Partie 2 : Analyse chimique des ciments
Partie 3 : Détermination du temps de prise et de la stabilité
Partie 4 : Détermination quantitative des constituants
Partie 5 : Essai de pouzzolanicité des ciments pouzzolaniques
Partie 6 : Détermination de la finesse des ciments
Partie 7 : Méthodes de prélèvement et d’échantillonnage du ciment
Partie 8 : Chaleur d’hydratation – Méthode par dissolution
Détermination des résistances mécaniques
La détermination des résistances mécaniques est réalisée conformément à la norme NF EN 196, partie 1.
Cette norme décrit une méthode de détermination des résistances à la compression et à la flexion d’un mortier de ciment. La méthode est applicable aux types de ciment définis dans la norme NF EN 197-1.
Préparation des éprouvettes
Le mortier pour essai est préparé dans un malaxeur (5 litres) et serré dans un moule à l’aide d’un appareil à choc normalisé. Les éprouvettes sont de forme prismatique de dimension 40 mm x 40 mm x 160 mm. Le mortier (mortier normal) pour essai est constitué d’une partie (en masse) de ciment et de trois parties (en masse) de sable normalisé CEN de référence (sable naturel siliceux à grains arrondis commercialisé en sac plastique de 1350 g) avec un rapport eau/ciment égal à 0,5. Les éprouvettes sont conservées en moule 24 heures en atmosphère humide (humidité relative supérieure à 90 %), puis elles sont démoulées et conservées sous eau à une température de 20°C jusqu’au moment des essais de résistance.
Essais de résistance sur éprouvette
Les éprouvettes sont brisées en 2 moitiés par flexion. L’essai de compression est réalisé ensuite sur chaque moitié d’éprouvettes obtenue après rupture. Les résistances à la flexion et en compression sont calculées par les formules suivantes :
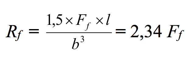
- Résistance en flexion :

avec
Rf : résistance à la flexion, en newton par millimètre carré
b : côté de la section carrée du prisme, en millimètres
Ff : charge appliquée au milieu du prisme à la rupture, en newton
l : distance entre les appuis, en millimètres
Le moment de rupture de l’éprouvette est égal à

- Résistance en compression :

avec
Rc : résistance à la compression, en newton par millimètre carré
Fc : charge maximale à la rupture, en newton.
Les essais sont effectués à diverses échéances : 24 h, 48 h, 72 h, 7 et 28 jours.
Les valeurs au jeune âge permettent de distinguer les ciments à hydratation rapide. La valeur à 28 jours détermine la classe de résistance du ciment (32,5/ 42,5/ 52,5).
Détermination du temps de prise et de la stabilité
Le temps de prise et la mesure de la stabilité des ciments font l’objet de la norme NF EN 196 partie 3. Cette norme est applicable à tous les ciments conformes à la norme NF EN 197-1.
Le temps de prise est déterminé par l’observation de la pénétration d’une aiguille (appareil de Vicat) dans une pâte de ciment de consistance normalisée jusqu’au moment où elle atteint une valeur spécifiée. L’aiguille s’enfonce de moins en moins au cours du temps, ce qui traduit l’évolution de l’hydratation du ciment.
NOTA : l’appareil Vicat est constitué d’un piston vertical pouvant supporter une charge. Le piston peut être équipé d’une sonde ou d’une aiguille normalisée.
La stabilité est déterminée par l’observation de l’expansion volumique d’une pâte de ciment de consistance normalisée, mesurée par un mouvement relatif de deux aiguilles solidaires d’un moule rempli de la pâte à ciment à tester.
Détermination de la consistance normalisée
Cet essai a pour objectif de déterminer une « consistance normalisée ». La pâte de ciment de « consistance normalisée » a une résistance spécifiée à la pénétration d’une sonde normalisée (le piston est dans ce cas équipé d’une sonde, la sonde de Vicat). La quantité d’eau nécessaire à l’obtention d’une telle pâte est déterminée par des essais de pénétration successifs de la sonde sur des pâtes réalisées avec des quantités d’eau différentes. Quand la sonde s’immobilise, on mesure la distance entre l’extrémité de la sonde et le fond du moule. La teneur en eau correspondant à une pénétration de la sonde dans la pâte de ciment de 61 mm est celle de la consistance normalisée.
Détermination du temps de prise
Le temps de début de prise est déterminé avec une pâte de ciment dont la composition correspond à la consistance normalisée. Il correspond au temps pendant lequel l’aiguille pénètre entièrement dans la pâte. L’enfoncement de l’aiguille est d’autant plus important que la consistance est plus fluide. Le temps de fin de prise correspond au temps au bout duquel la pénétration de l’aiguille dans la pâte est inférieure à 0,5 mm.
Détermination de la stabilité
La stabilité est mesurée avec l’appareil de Le Chatelier (aiguille). La pâte de ciment testée correspond à la consistance normalisée. On mesure au bout de 24 h l’écartement (A) entre les pointes des aiguilles. Puis l’écartement (B) après chauffage du moule dans l’eau à ébullition. Après refroidissement, on mesure l’écartement (C). La stabilité correspond à la différence entre les écartements C et A exprimé en mm. Dans cet essai, l’hydratation du ciment est accélérée par un traitement thermique, ce qui permet de mesurer dans un délai très court, une éventuelle expansion. La valeur de l’expansion est limitée à 10 mm pour tous les types de ciments courants.
Détermination de la finesse des ciments
La finesse des ciments (appelée finesse Blaine) est déterminée par la méthode de perméabilité à l’air (méthode Blaine). Elle s’exprime en surface massique (cm2/g) et représente le temps mis par une quantité fixée d’air à traverser un lit de ciment (plus la surface massique est élevée, plus le temps mis par l’air pour traverser le ciment est important). La valeur est mesurée par comparaison avec un ciment de référence dont la surface massique est connue.
La finesse du ciment a une influence sur la maniabilité et le durcissement du béton.
Plus la finesse Blaine est importante, plus l’hydratation est rapide. Elle est de l’ordre de 3000 à 4000 cm2/g pour les ciments courants.

COMMENTAIRES
2 COMMENTAIRES